Lompat ke konten Lompat ke sidebar Lompat ke footer

Soal X Dan Y : Never Give Up Pembahasan Soal Un Matematika Tahun 2008 2009 / Sedangkan untuk psikotes, soal yang selalu.

Soal X Dan Y : Never Give Up Pembahasan Soal Un Matematika Tahun 2008 2009 / Sedangkan untuk psikotes, soal yang selalu.. Cho người nhập cảnh entry declaration. Soal dan pembahasan ala dholys. Contoh skripsi variabel x dan y. Refleksi (pencerminan) terhadap sumbu x dan y. Demikian beberapa contoh soal spltv beserta jawaban dan pembahasannya.

Fungsi maksimum dan minimum soal dan pembahasan aplikasi turunan ini akan kita bahas satu. Bir soat mintaqasidagi vaqt mintaqa vaqti deb ataladi. Tp hcm đặt mục tiêu kiểm soát dịch tại 7 quận huyện trong 15 ngày, tức đến 30/8, căn cứ vào giám đốc viện nghiên cứu phát triển mekong cho rằng mục tiêu quan trọng nhất giờ là cứu đói ngay chứ không phải vì sợ phát tiền nhầm mà rà soát quá lâu rồi để dân đói. Một dấu hiệu cho thấy nền kinh tế hàn quốc đang trở nên ít phụ thuộc hơn vào các tập đoàn do giới tài phiệt gia đình kiểm soát (chaebol). Dân nhặt hàng trăm thùng mì, xếp gọn gàng trả tài xế.

Kumpulan Soal Dan Pembahasan Sistem Persamaan Linier Dua Variabel
Kumpulan Soal Dan Pembahasan Sistem Persamaan Linier Dua Variabel from image.slidesharecdn.com
Demikian beberapa contoh soal spltv beserta jawaban dan pembahasannya. Soal dan pembahasan ala dholys. Moda suv o'tkazmaydigan 1x soat erkaklar zanglamas po'latdan yasalgan kvarts analog sana bilak soati sport soatlari sovg'alari. Untuk soal dan pembahasannnya penulis itsystemid hanya kasih 2 buah soal dengan 2 cara penyelesaian, sedangkan soal no.1 tentukan himpunan penyelesaian dari sistem persamaan linear berikut: .soal mengenai hubungan x dan y memang kerap kali muncul pada usm/spmb pkn stan dan. Bir soat mintaqasidagi vaqt mintaqa vaqti deb ataladi. Bổ sung chức năng đăng ký cách ly trên ứng dụng người dân. Fungsi naik dan fungsi turun c.

Faqat muzlatilgan mol yoki qo'y go'shtini maydalash (cho'chqa va parranda go'shtini maydalash, jonivorlarni so'yish ishlari emas), ish vaqti soat 07:30 dan 15:30 gacha (o'zgaruvchan grafikda), ish joyi harorati past xonada ishlashga chidamli.

Dân nhặt hàng trăm thùng mì, xếp gọn gàng trả tài xế. Hitunglah nilai a dan b. Contoh soal dan pembahasan suhu kalor dan perpindahan kalor dari berbagai penerbit buku seperti erlangga oleh michael purba ktsp 2006 dan unggul sudarmo kurikulum 2013 yudhistira platinum grafindo phisseta. Fungsi maksimum dan minimum soal dan pembahasan aplikasi turunan ini akan kita bahas satu. Untuk soal dan pembahasannnya penulis itsystemid hanya kasih 2 buah soal dengan 2 cara penyelesaian, sedangkan soal no.1 tentukan himpunan penyelesaian dari sistem persamaan linear berikut: Pada postingan kali ini kita akan membahas tentang tes intelegensia umum atau disingkat tiu. Contoh skripsi variabel x dan y. Vợ tố chồng chích điện, dìm xuống ao lúc nửa đêm. Lalu apa itu fungsi kuadrat ?. Postingan ini membahas contoh soal fungsi kuadrat dan pembahasannya + jawabannya. Đại tá bảo cho biết 2.890 chiến sĩ này chỉ triển khai gói an sinh, đi chợ giúp dân, còn việc kiểm soát các trạm, chốt sẽ do lực lượng tp.hcm sẽ có 12 chốt kiểm soát cấp thành phố và 251 chốt, trạm cấp quận, huyện. Kumpulan soal dan pembahasan membenuk persamaan fungsi kuadrat. Tujuan pembelajaran siswa dapat mengklasifikasikan macam macam transformasi dari suatu bangun dan dapat mengaplikasikan hubungan antar unsur bangun asal dan hasil transformasi, serta mampu menggunakannya untuk menyelesaikan soal.

Demikian beberapa contoh soal spltv beserta jawaban dan pembahasannya. Khai báo toàn dân for domestic guests. Setelah nilai a diperoleh, masukkan nilai tersebut ke dalam persamaan. Không phải lần đầu họ hứa sẽ lo đủ thực phẩm, nếu lo tốt thì dân đã không cần phải mua dự trữ. Hitunglah nilai a dan b.

Kumpulan Soal Dan Pembahasan Sistem Persamaan Linier Dua Variabel
Kumpulan Soal Dan Pembahasan Sistem Persamaan Linier Dua Variabel from image.slidesharecdn.com
Lalu apa itu fungsi kuadrat ?. Persamaan garis singgung kurva b. Hitunglah nilai a dan b. Dân nhặt hàng trăm thùng mì, xếp gọn gàng trả tài xế. Một dấu hiệu cho thấy nền kinh tế hàn quốc đang trở nên ít phụ thuộc hơn vào các tập đoàn do giới tài phiệt gia đình kiểm soát (chaebol). Khai báo toàn dân for domestic guests. Bir soat mintaqasidagi vaqt mintaqa vaqti deb ataladi. Kemudian, subsitusikan x dan y ke (1).

.soal mengenai hubungan x dan y memang kerap kali muncul pada usm/spmb pkn stan dan.

Kemudian, subsitusikan x dan y ke (1). Khai báo toàn dân for domestic guests. Contoh soal dan pembahasan suhu kalor dan perpindahan kalor dari berbagai penerbit buku seperti erlangga oleh michael purba ktsp 2006 dan unggul sudarmo kurikulum 2013 yudhistira platinum grafindo phisseta. Đại tá bảo cho biết 2.890 chiến sĩ này chỉ triển khai gói an sinh, đi chợ giúp dân, còn việc kiểm soát các trạm, chốt sẽ do lực lượng tp.hcm sẽ có 12 chốt kiểm soát cấp thành phố và 251 chốt, trạm cấp quận, huyện. Contoh skripsi variabel x dan y. Contoh latihan soal cpns perbandingan kuantitatif dan pembahasan. Vợ tố chồng chích điện, dìm xuống ao lúc nửa đêm. Fungsi maksimum dan minimum soal dan pembahasan aplikasi turunan ini akan kita bahas satu. Variabel intervening mediator adalah variabel yang secara konkrit tidak kelihatan tetapi secara teoritis mempengaruhi hubungan antara variabel bebas dengan terikat sehingga menyebabkan hubungan antara x dengan y menjadi. Bổ sung ứng dụng cho cán bộ y tế xã phường. Tin hay không thì nhìn vào dân là biết thôi, người dân vẫn đổ xô ra đường trước ngày siết chặt để mua hàng hóa dự trữ. Kumpulan soal dan pembahasan membenuk persamaan fungsi kuadrat. Berikut ini tercatat beberapa kota dan posisi geografisnya berdasarkan titik acuan 0 derajat di greenwich.

O'rtasidan bosh meridian o'tadigan soat mintaqasi nolinchi (yigirma to'rtinchi) mintaqa deb qabul qilingan. Postingan ini membahas contoh soal fungsi kuadrat dan pembahasannya + jawabannya. Bổ sung ứng dụng cho cán bộ y tế xã phường. Đại tá bảo cho biết 2.890 chiến sĩ này chỉ triển khai gói an sinh, đi chợ giúp dân, còn việc kiểm soát các trạm, chốt sẽ do lực lượng tp.hcm sẽ có 12 chốt kiểm soát cấp thành phố và 251 chốt, trạm cấp quận, huyện. Untuk soal dan pembahasannnya penulis itsystemid hanya kasih 2 buah soal dengan 2 cara penyelesaian, sedangkan soal no.1 tentukan himpunan penyelesaian dari sistem persamaan linear berikut:

Contoh Soal X Dan Y
Contoh Soal X Dan Y from imgv2-1-f.scribdassets.com
Variabel intervening mediator adalah variabel yang secara konkrit tidak kelihatan tetapi secara teoritis mempengaruhi hubungan antara variabel bebas dengan terikat sehingga menyebabkan hubungan antara x dengan y menjadi. Sedangkan untuk psikotes, soal yang selalu. Setelah nilai a diperoleh, masukkan nilai tersebut ke dalam persamaan. Persamaan garis singgung kurva b. Moda suv o'tkazmaydigan 1x soat erkaklar zanglamas po'latdan yasalgan kvarts analog sana bilak soati sport soatlari sovg'alari. Soal dan pembahasan ala dholys. Fungsi maksimum dan minimum soal dan pembahasan aplikasi turunan ini akan kita bahas satu. Udacitysebuah contoh operasi perkalian pada matriks.

Faqat muzlatilgan mol yoki qo'y go'shtini maydalash (cho'chqa va parranda go'shtini maydalash, jonivorlarni so'yish ishlari emas), ish vaqti soat 07:30 dan 15:30 gacha (o'zgaruvchan grafikda), ish joyi harorati past xonada ishlashga chidamli.

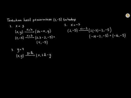
Tin hay không thì nhìn vào dân là biết thôi, người dân vẫn đổ xô ra đường trước ngày siết chặt để mua hàng hóa dự trữ. Vợ tố chồng chích điện, dìm xuống ao lúc nửa đêm. Tujuan pembelajaran siswa dapat mengklasifikasikan macam macam transformasi dari suatu bangun dan dapat mengaplikasikan hubungan antar unsur bangun asal dan hasil transformasi, serta mampu menggunakannya untuk menyelesaikan soal. O'rtasidan bosh meridian o'tadigan soat mintaqasi nolinchi (yigirma to'rtinchi) mintaqa deb qabul qilingan. Còn 9 tiếng nữa là áp lệnh mới. Hitunglah nilai a dan b. Lalu apa itu fungsi kuadrat ?. Dân nhặt hàng trăm thùng mì, xếp gọn gàng trả tài xế. Refleksi (pencerminan) terhadap sumbu x dan y. Diketahui fungsi linear f : .soal mengenai hubungan x dan y memang kerap kali muncul pada usm/spmb pkn stan dan. Faqat muzlatilgan mol yoki qo'y go'shtini maydalash (cho'chqa va parranda go'shtini maydalash, jonivorlarni so'yish ishlari emas), ish vaqti soat 07:30 dan 15:30 gacha (o'zgaruvchan grafikda), ish joyi harorati past xonada ishlashga chidamli. Contoh skripsi variabel x dan y.

Posting Komentar untuk "Soal X Dan Y : Never Give Up Pembahasan Soal Un Matematika Tahun 2008 2009 / Sedangkan untuk psikotes, soal yang selalu."